Discussion Closed This discussion was created more than 6 months ago and has been closed. To start a new discussion with a link back to this one, click here.
Calligraphic Letters in Graph Axis Label
Posted Feb 24, 2025, 9:27 a.m. EST 0 Replies
Please login with a confirmed email address before reporting spam
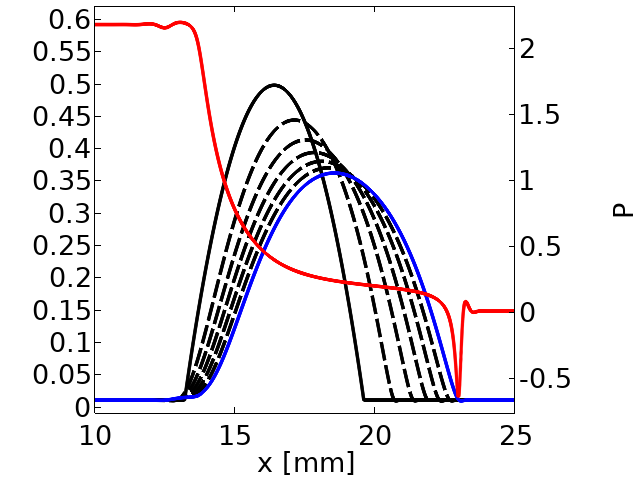
Hi, I have a model which solves for the height profile of a film as well as the effective pressure in the film, which in my model is called . I want to save the attached plot where the x-axis is labeled using regular font but the right y-axis is labeled using this mathcal font. Is this not possible in Comsol? I had a similar issue trying to include accents in axes labels and was told it was impossible; it that the same here as well?
Attachments:
Hello Mark JoFa
Your Discussion has gone 30 days without a reply. If you still need help with COMSOL and have an on-subscription license, please visit our Support Center for help.
If you do not hold an on-subscription license, you may find an answer in another Discussion or in the Knowledge Base.
