Discussion Closed This discussion was created more than 6 months ago and has been closed. To start a new discussion with a link back to this one, click here.
How to Accurately Extract C_ij Components from 2D Periodic Unit Cell in COMSOL?
Posted Apr 9, 2025, 8:51 a.m. EDT Materials, Results & Visualization, Structural Mechanics 9 Replies
Please login with a confirmed email address before reporting spam
I'm currently working on reproducing the 2D square microstructure stiffness data used in the GM-TOuNN paper to eventually extend it to 3D. However, even for the simple 2D square unit cell, the elasticity matrix ( components) I extract from COMSOL doesn't match the original values reported in the paper.
What I’ve done so far: I created a 2D square unit cell with a central void to represent varying volume fractions (v), controlled via void size. I applied 3 load cases (ε₁₁ = 1, ε₂₂ = 1, ε₁₂ = 0.5) and used average stress values to compute C₀₀, C₁₁, C₂₂, C₀₁, C₀₂, C₁₂. I performed a parametric sweep over volume fractions and saved average stress values for each load case in a CSV.
My request: Can someone please help me:
- Confirm the correct way to extract
values in COMSOL for a 2D square unit cell with varying volume fraction?
- Clarify if using elasticity matrix is more accurate than average stress for this purpose?
- Point me to any reference or COMSOL-specific best practices for implementing this type of homogenization?
Attachments:
Please login with a confirmed email address before reporting spam
Dear Manoj,
I looked into the simple example you attached, in that example the Cell Volume should not set to Automatic in the presence of voids, rather it should be User defined with volume set to 1[mm]1[mm]
1[m]. What are the reference values for this example?
More references about material homogenization with COMSOL are 1. Homogenization of Material Properties 2. Micromechanical Model of an Octet-Truss Lattice Cell 3. Homogenized Material Properties of Periodic Microstructures
Regards Amit
Please login with a confirmed email address before reporting spam
Dear Amit,
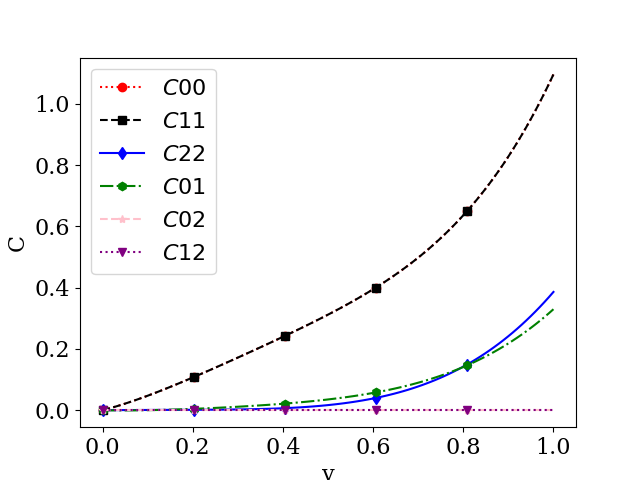
Thank you for your reply . I'm trying to match the values as obtained in this graph , which is from paper I attached. Somehow the values are not matching for lower volume fractions.
Attachments:
Please login with a confirmed email address before reporting spam
Dear Amit,
Thank you for your valuable suggestion. I'm able to match the values now, except for one value C22 which is basically C33 in COMSOL (elasticity matrix) .I think it has got to do with loadcase settings .I'm attaching you the Boundary condition and Loadcases I'm using .This is for 2D study.Please let me know if any change is required in this .
Regards, Manoj
Attachments:
Please login with a confirmed email address before reporting spam
How did you determine the values of Cij?
Please login with a confirmed email address before reporting spam
Dear Said Bouta,
Thank you for your reply. I ran for 3 loadcases and measured Cij in Elasticity matrix voigt notation . I'm attaching screenshots for both.
Regards, Manoj
Attachments:
Please login with a confirmed email address before reporting spam
In curve 4 of GM-TOUNN... pdf, he plotted the curves for the case of X-shaped cells, it is not the same as your case.!
Please login with a confirmed email address before reporting spam
Dear Amit,
Thank you for your valuable suggestion. I'm able to match the values now, except for one value C22 which is basically C33 in COMSOL (elasticity matrix) .I think it has got to do with loadcase settings .I'm attaching you the Boundary condition and Loadcases I'm using .This is for 2D study.Please let me know if any change is required in this .
Regards, Manoj
Hi Manoj,
Yes it has to do with the loadcases and cell periodicity settings. Manually remove the auto created model nodes and regenerate again. My advice it first try to build a 3D model and then use that model as a reference to build a 2D model.
Regards Amit
Please login with a confirmed email address before reporting spam
Hi Amit,
Thank you for your valuable inputs.
I’ve completed building the 3D microstructures and have successfully generated all nine required Cij values for 3D. For estimating the cell volume, I used the Void Volume Fraction method and measured the volume directly using the Measure tool in COMSOL. Based on this, I calculated the corresponding material volume by subtracting it from the total and used this to define the void volume fraction. I repeated this process across different volume fractions to extract the corresponding Cij values and fit them into the desired curve.
Could you please confirm if the settings and results I’ve considered look correct or any changes required?
I’ve attached the COMSOL files, relevant screenshots, and the Cij result spreadsheets for your reference.
Best regards, Manoj
Attachments:
Please login with a confirmed email address before reporting spam
That's correct, except in the Periodic boundary conditions: you should set Cell Volume to Automatic, since you already have a sweep evaluating the void fraction.
Note that while COMSOL employees may participate in the discussion forum, COMSOL® software users who are on-subscription should submit their questions via the Support Center for a more comprehensive response from the Technical Support team.
Suggested Content
- KNOWLEDGE BASE My Compiled App Fails to Run on macOS 11
- FORUM ALE - Taylor flow (unit cell)
- KNOWLEDGE BASE Memory Leak in the Fortran Runtime Libraries
- BLOG How to Model an Anechoic Coating
- BLOG Computing the Impedance of a Corrugated Waveguide
