Discussion Closed This discussion was created more than 6 months ago and has been closed. To start a new discussion with a link back to this one, click here.
How to create twisted helix structure in COMSOL using parametric equations
Posted Apr 30, 2025, 4:54 a.m. EDT General, Geometry, Modeling Tools & Definitions Version 6.0 1 Reply
Please login with a confirmed email address before reporting spam
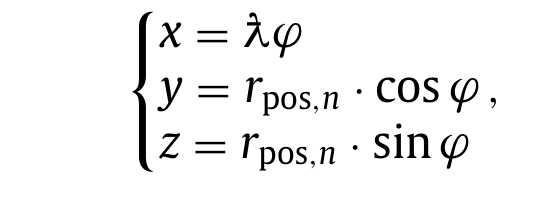
How to create the twisted helical shape in the COMSOL using parametric equations??
I know that it is a very easy task. but somehow, I am unable to obtain the twisted structure. I desired helical model, governing equations for helix and my mph model are attached below.
Please help me.
