Discussion Closed This discussion was created more than 6 months ago and has been closed. To start a new discussion with a link back to this one, click here.
Implementation of Weak Form PDE from PDE interface for battery charging discharging cycle
Posted Oct 2, 2025, 10:00 a.m. EDT Battery Design, Electrochemistry, Equation-Based Modeling 0 Replies
Please login with a confirmed email address before reporting spam
Hello,
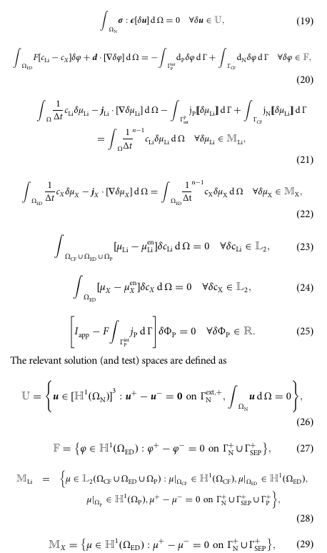
I'm trying to build a Lithium-ion Battery model using Weak Form PDE from PDE interface in mathematics module, not using the lithium ion battery physics in Batteries module.
I want to implement a charge-discharge cycling condition using Weak Form PDE from PDE interface in mathematics module, but I don't know how to do this.
I know the way to applying the charge-discharge cycle in Lithium Ion Battery Physics, but I want to know the way to applying the charge-discharge cycle using Weak Form PDE from PDE interface Physics.
Please provide the way, how can i Implement this?
Thanks for reading,
Prakash
Attachments:
Hello Prakash Kumar
Your Discussion has gone 30 days without a reply. If you still need help with COMSOL and have an on-subscription license, please visit our Support Center for help.
If you do not hold an on-subscription license, you may find an answer in another Discussion or in the Knowledge Base.
