Global Model of a CF4/O2 Plasma Reactor
Application ID: 139821
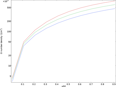
In this example, an CF4/O2 plasma reactor at low pressure is studied using a global model. Parametric sweeps for pressure and oxygen mole fraction are computed.
This model example illustrates applications of this type that would nominally be built using the following products:
however, additional products may be required to completely define and model it. Furthermore, this example may also be defined and modeled using components from the following product combinations:
The combination of COMSOL® products required to model your application depends on several factors and may include boundary conditions, material properties, physics interfaces, and part libraries. Particular functionality may be common to several products. To determine the right combination of products for your modeling needs, review the Specification Chart and make use of a free evaluation license. The COMSOL Sales and Support teams are available for answering any questions you may have regarding this.
