Power Losses in a Lithium-Ion Battery
Application ID: 143791
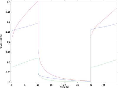
This example computes the power losses in a lithium-ion battery when exposed to high current pulses in a hybrid pulse power characterization (HPPC) test.
Power loss contributions stemming from different phenomena are analyzed, as well as the total power losses pertaining to the different components of the battery, and the results for a power-optimized vs an energy-optimized cell are compared.
This model example illustrates applications of this type that would nominally be built using the following products:
however, additional products may be required to completely define and model it. Furthermore, this example may also be defined and modeled using components from the following product combinations:
The combination of COMSOL® products required to model your application depends on several factors and may include boundary conditions, material properties, physics interfaces, and part libraries. Particular functionality may be common to several products. To determine the right combination of products for your modeling needs, review the Specification Chart and make use of a free evaluation license. The COMSOL Sales and Support teams are available for answering any questions you may have regarding this.
