The Application Gallery features COMSOL Multiphysics® tutorial and demo app files pertinent to the electrical, structural, acoustics, fluid, heat, and chemical disciplines. You can use these examples as a starting point for your own simulation work by downloading the tutorial model or demo app file and its accompanying instructions.
Search for tutorials and apps relevant to your area of expertise via the Quick Search feature. Note that many of the examples featured here can also be accessed via the Application Libraries that are built into the COMSOL Multiphysics® software and available from the File menu.
This app demonstrates the usage of a surrogate model function for predicting the cell voltage, cell open circuit voltage and internal resistance of an NMC111/graphite battery cell undergoing a battery test cycle. The surrogate function, a Deep Neural Network, has been fitted to a ... Read More
Lithium-sulfur (Li-S) batteries are used in niche applications with high demands for specific energy densities, which may be as high as 500-600 Wh/kg. The chemistry is fairly complex, since multiple polysulfide species participate in the various charge transfer reactions. The chemistry ... Read More
An isothermal single particle model formulation for a lithium-ion battery is presented in this work. The single particle model is a simplification of the 1D formulation for a lithium-ion battery along with a few assumptions. The model is typically valid for low-medium current scenarios. ... Read More
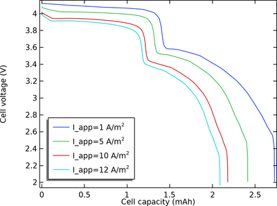
A battery’s possible energy and power outputs are crucial to consider when deciding in which type of device it can be used. A cell with high rate capability is able to generate a considerable amount of power, that is, it suffers from little polarization (voltage loss) even at high ... Read More
Solid-state batteries (SSB) are a promising technology that could suffer from internal mechanical stresses due to the growth and shrinkage of the electrodes within all-solid components. With this model, the charge-discharge cycling of an SSB is simulated with a focus on the interaction ... Read More
This is a template base model containing the physics, geometry and mesh of a lithium-ion battery, defined in 1D. The model makes use of four lithiation parameters which are used to define the relative balancing of the negative and positive electrodes, as well as global cell state of ... Read More
At the electrode-electrolyte interface, there is a thin layer of space charge in a diffuse double layer. This may be of interest when modeling devices such as electrochemical capacitors and nanoelectrodes. This tutorial example shows how to couple the Nernst-Planck equations to the ... Read More
Electrochemical supercapacitors feature relatively higher energy densities than conventional capacitors. With several advantages, such as fast charging, long charge–discharge cycles, and broad operating temperature ranges, electrochemical supercapacitors have found wide applications in ... Read More
Sodium-ion batteries (SIB) are commonly presented as an alternative to lithium-ion batteries (LIB). The SIB chemistry uses Na+ instead of Li+ for electrolyte charge transport and as redox species in the electrode reactions, with the advantage of Na+ being more abundant and with a ... Read More
This tutorial demonstrates how to integrate multiple Lumped Battery models into the Electrical Circuit interface. Two batteries are connected in series. Each battery is protected by a shunt resistances that is activated if the battery state-of-charge reaches below a certain threshold ... Read More
