The Application Gallery features COMSOL Multiphysics® tutorial and demo app files pertinent to the electrical, structural, acoustics, fluid, heat, and chemical disciplines. You can use these examples as a starting point for your own simulation work by downloading the tutorial model or demo app file and its accompanying instructions.
Search for tutorials and apps relevant to your area of expertise via the Quick Search feature. Note that many of the examples featured here can also be accessed via the Application Libraries that are built into the COMSOL Multiphysics® software and available from the File menu.
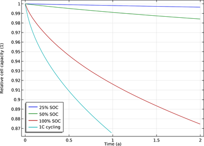
This tutorial demonstrates the Lumped Battery interface for modeling capacity loss in a battery. A set of lumped parameters are used to describe the capacity loss that occurs due to parasitic reactions in the battery, assuming no knowledge of the internal structure or design of the ... Read More
This application shows how a battery cell exposed to a hybrid electric vehicle drive cycle can be investigated with the Lithium-Ion Battery interface in COMSOL. This model predicts the battery behavior to make comparisons of the monitored properties. They can be used to understand the ... Read More
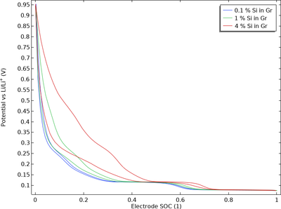
Diffusion-induced stress in lithium-ion battery electrode materials can occur as a result of compositional inhomogeneities during lithium intercalation in the host material particles. These stresses are important since the electrode host material can undergo significant volume changes ... Read More
This app can be used as a design tool to develop an optimized battery configuration for a specific application. The application computes the capacity, energy efficiency, heat generation, and capacity losses due to parasitic reactions of a battery for a specific load cycle. Various ... Read More
This example demonstrates the Lithium-Ion Battery, Single-Ion Conductor interface for studying the discharge of a lithium-ion battery with solid electrolyte. The geometry is in one dimension and the model is isothermal. The behavior at various discharge currents and solid electrolyte ... Read More
During an internal short circuit of a battery, the two electrode materials are internally and electronically interconnected, giving rise to high local current densities. Internal short circuits may occur in a lithium-ion battery due to, for instance, lithium dendrite formation or a ... Read More
This model exemplifies how to compute the internal temperature distribution in a prismatic battery during a high-rate charge. The electrochemistry is described by a a lumped two-electrode model, which is coupled to the heat transfer model. The heat transfer model includes the effects of ... Read More
A simple equivalent circuit model approach is presented for Nickel metal hydride batteries. The 0D model consists of resistor, capacitor, current source and state-of-charge based voltage source (SOC). An Arrhenius type dependence is used to account for self-discharge. All model ... Read More
This example models the temperature profile in a liquid-cooled prismatic battery pack during a high-rate charge. The pack consists of 16 prismatic battery cells connected by busbars, placed on an aluminum plate containing four cooling channels. The battery pack is assumed to have two ... Read More
In a redox flow battery electrochemical energy is stored as redox couples in the electrolyte, which is stored in tanks outside the electrochemical cell. During operation, electrolyte is pumped through the cell and, due to the electrochemical reactions, the individual concentrations of ... Read More
