The Application Gallery features COMSOL Multiphysics® tutorial and demo app files pertinent to the electrical, structural, acoustics, fluid, heat, and chemical disciplines. You can use these examples as a starting point for your own simulation work by downloading the tutorial model or demo app file and its accompanying instructions.
Search for tutorials and apps relevant to your area of expertise via the Quick Search feature. Note that many of the examples featured here can also be accessed via the Application Libraries that are built into the COMSOL Multiphysics® software and available from the File menu.
This example models cathodic protection of a steel reinforcing bar in concrete. Three different electrochemical reactions are considered on the steel surface. Charge and oxygen transport are modeled in the concrete domain, where the electrolyte conductivity and oxygen diffusivity depend ... Read More
A monopile foundation is a large-diameter structural element that can be used to support structures like offshore wind turbines. This application exemplifies how the cathodic protection of a monopile decreases over time as the sacrificial anodes dissolve. The model can be used to ... Read More
This model exemplifies how the rate of steel corrosion in an oil platform increases over time due to build-up of a resistive film on the sacrificial anodes, formed by reaction products. The model also includes secondary current distribution electrode kinetics on the protected steel ... Read More
Steel structures immersed in seawater can be protected from corrosion through cathodic protection. This protection can be achieved by an impressed external current or by using sacrificial anodes. The use of sacrificial anodes is often preferred due to its simplicity. This example models ... Read More
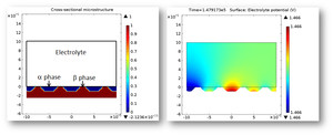
This example models galvanic corrosion between two different phases in a magnesium alloy for a representative cross-sectional microstructure configuration. The Level Set interface is used here to model dissolution of a constituent phase leading to topological changes. The electrode ... Read More
Galvanic corrosion between two different phases (alpha and beta phases) in a metallic (magnesium) alloy is simulated for a representative cross-sectional microstructure configuration. A key feature in the model formulation is the implementation of both anodic and cathodic regions at ... Read More
Magnesium alloys are attractive alternatives as lightweight materials in various fields of engineering. Magnesium is however relatively non-noble and may suffer considerable galvanic corrosion when being used in conjunction with other metals, for instance when mounting an Mg alloy ... Read More
Digital Rock technology utilizes high-resolution imaging techniques, such as SEM and X-ray CT, to characterize the pore structures of rock cores. This approach enables pore-scale modeling of reservoir rocks, offering valuable insights into pore morphology, connectivity, and fluid ... Read More
This model exemplifies the basic principles of crevice corrosion and how a time-dependent study can be used to simulate the electrode deformation. The model is in 2D and the polarization data for the corrosion reaction is taken from a paper by Absulsalam and others. The model and the ... Read More
This model simulates atmospheric galvanic corrosion of an aluminum alloy in contact with steel. The electrolyte film thickness depends on the relative humidity of the surrounding air and the salt load density of NaCl crystals on the metal surface. Empirical expressions for the oxygen ... Read More
