The Application Gallery features COMSOL Multiphysics® tutorial and demo app files pertinent to the electrical, structural, acoustics, fluid, heat, and chemical disciplines. You can use these examples as a starting point for your own simulation work by downloading the tutorial model or demo app file and its accompanying instructions.
Search for tutorials and apps relevant to your area of expertise via the Quick Search feature. Note that many of the examples featured here can also be accessed via the Application Libraries that are built into the COMSOL Multiphysics® software and available from the File menu.
When electrons are emitted from a heated cathode in a plane parallel vacuum diode, they contribute to the space charge density in the diode, which in turn affects the electric potential distribution. If the potential difference between the cathode and the anode is not sufficiently large, ... Read More
RFIDs are used in a multitude of applications such as tracking or identifying consumer products and their packaging. An RFID system consists of two main parts: A tag or transponder with a printed circuit-board (PCB) antenna A reader unit with a larger RF antennaThe reader antenna ... Read More
This model analyzes the nonlinear transfer impedance of a tapered orifice that can be part of a perforate or microperforated plate (MPP). The analysis is carried out for various degrees of tapering of the perforate and for a frequency range. A linear analysis is set up in the frequency ... Read More
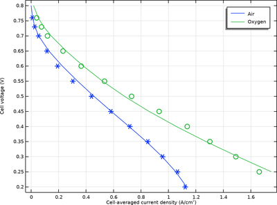
This tutorial demonstrates how to use stationary polarization data to perform parameter estimation of a polymer electrolyte membrane fuel cell (PEMFC) model. The model, defining a 5-layer membrane electrode assembly (MEA) is two-dimensional and includes electronic and ionic charge ... Read More
This tutorial model shows a system consisting of a Helmholtz resonator on the side of a main duct. The resonator volume is partly filled with a porous material. The model computes the reflection, transmission, and absorption of the system. Thermoviscous losses are included in the model ... Read More
This model studies the heat conduction in a building structure separating two floors from the external environment. Four materials with distinct thermal conductivities k compose the structure. The exterior and interior boundaries are facing environments respectively at 0°C and 20°C. The ... Read More
This tutorial model is of a micro perforated plate (also known as MPP) backed by a vibrating structure. This is a typical configuration in, for example, a MEMS microphone. The vibrating structure is not modeled explicitly, but just assigned a vibration velocity. The vibrating structure ... Read More
The Cathodic Protection Designer application is an example of how an application can be used to simplify the simulation process by featuring a way to import a generic CAD file with certain requirements. Using this app, the user can select each part of the geometry and set boundary ... Read More
The ball grid array (BGA) technology is a surface-mount technology widely used in electronic packaging. Usually, there are two types of solder balls considered in the array, including the functional balls that are required for electric connections and the support balls that are used only ... Read More
Chain drives are used for transmitting power from one shaft to another, located at some distance. This example simulates the dynamics of a chain sprocket assembly in 2D. The geometry consists of a roller chain wrapped around two sprockets. Both chain links and sprockets are assumed to be ... Read More
