The Application Gallery features COMSOL Multiphysics® tutorial and demo app files pertinent to the electrical, structural, acoustics, fluid, heat, and chemical disciplines. You can use these examples as a starting point for your own simulation work by downloading the tutorial model or demo app file and its accompanying instructions.
Search for tutorials and apps relevant to your area of expertise via the Quick Search feature. Note that many of the examples featured here can also be accessed via the Application Libraries that are built into the COMSOL Multiphysics® software and available from the File menu.
This example exemplifies how to model the switching between current and voltage excitations in Terminal boundary conditions. A more detailed description of the phenomenon and the modeling process can be seen in the blog post "Control Current and Voltage Sources with the AC/DC Module". Read More
Tesla microvalves exploit the non-linear nature of inertial flow to create anisotropic flow resistance. They can be used as robust valves owing to their passive working mechanism, but for many applications the diodicity is too low. Two-dimensional simulations and optimization over ... Read More
This small tutorial model studies energy conservation in a small conceptual test setup. The model has an inlet and outlet (modeled using ports) and a Helmholtz resonator with a very narrow neck. The acoustics in the narrow neck are modeled with Thermoviscous Acoustic for a detailed ... Read More
In this tutorial, an uncertainty quantification analysis is performed on the Microstrip Patch Antenna model from the RF Module Application Library to explore how variations in input parameters, such as material properties or geometric variations, impact the antenna’s performance in terms ... Read More
The model utilizes a dedicated mesh refinement study, Frequency Domain RF Adaptive Mesh, which dynamically refines the mesh in the region of interest. For the Application Library model Microstrip Patch Antenna, it increases the mesh resolution around areas with high field variations. The ... Read More
When radiation occurs across a very narrow gap this is often well-approximated as radiation between infinite parallel plates. This model considers three aluminum plates separated by narrow air gaps. The model compares the classical approach, based on the Surface-to-Surface Radiation ... Read More
This model demonstrates two ways of modeling waveguides that support multiple modes. A PML can be used to absorb any modes, or Ports can be explicitly added for each possible mode. Learn more in this accompanying blog post: Modeling Waveguides that Support Multiple Modes Read More
Multiscale modeling is a challenging issue in modern simulation. This occurs when there are vastly different scales in the same model. For example, your cell phone is approximately 10 cm, yet it receives GPS information from satellites 20,000 km away. In these models we examine several ... Read More
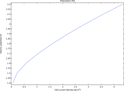
In a polymer electrolyte membrane water electrolyzer cell, hydrogen and oxygen gas is produced by electrolysis. The hydrogen and oxygen compartments are separated by a polymer membrane, that also acts as electrolyte. This introductory tutorial computes the ohmic and activation losses in ... Read More
This tutorial illustrates the use of the connecting features in the Heat Transfer in Solids and Heat Transfer in Shells interfaces, to couple them to a Lumped Thermal System interface. The results obtained with the solid and shell models are compared. Read More
