The Application Gallery features COMSOL Multiphysics® tutorial and demo app files pertinent to the electrical, structural, acoustics, fluid, heat, and chemical disciplines. You can use these examples as a starting point for your own simulation work by downloading the tutorial model or demo app file and its accompanying instructions.
Search for tutorials and apps relevant to your area of expertise via the Quick Search feature. Note that many of the examples featured here can also be accessed via the Application Libraries that are built into the COMSOL Multiphysics® software and available from the File menu.
This tutorial presents a study of positive and negative corona discharges in dry air at atmospheric pressure. The discharges are sustained within two electrodes in a coaxial configuration by a high voltage DC source applied to the inner electrode. Two different types of models are used: ... Read More
The GEC cell was introduced by NIST in order to provide a standardized platform for experimental and modeling studies of discharges in different laboratories. The plasma is sustained via inductive heating. The Reference Cell operates as an inductively-coupled plasma in this model. This ... Read More
This tutorial model presents a study of a negative corona discharge in dry air at atmospheric pressure in a point-to-plane configuration. An elliptical electrode with millimeter dimensions creates a high intensity electric field where the corona discharge occurs. A ground plane is placed ... Read More
This model simulates electrical breakdown in an atmospheric pressure gas. Modeling dielectric barrier discharges in more than one dimension is possible, but the results can be difficult to interpret because of the amount of competing physics in the problem. In this simple model the ... Read More
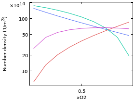
This tutorial model solves for a one-dimensional capacitively coupled plasma reactor in a mixture of argon/oxygen. Important aspects and strategies for modeling electronegative discharges are discussed. Read More
Plasma discharges containing chlorine are commonly used to etch semiconductors and metals in microelectronics fabrication. This tutorial model studies chlorine plasma discharges using a global (volume-averaged) diffusion model. Global diffusion models can run simulations in a fraction ... Read More
This tutorial models a DC glow discharge by solving fluid-type plasma equations fully coupled with the homogeneous and time-independent electron Boltzmann equation in the classical two-term approximation. The approximated Boltzmann equation is solved for each position of space and is ... Read More
This model presents a 2D axisymmetric dipolar microwave plasma source sustained through resonant heating of the electrons. This is known as electron cyclotron resonance (ECR), which occurs when a suitable high magnetic flux density is present along with the microwaves. This is an ... Read More
This tutorial model solves for an inductively coupled plasma reactor in a mixture of SF6/argon. The model computes the fluid flow and gas heating. Important aspects and strategies for modeling electronegative discharges are discussed. Read More
The electron energy distribution function (EEDF) plays an important role in the overall behavior of discharges. Analytic forms of the EEDF exist such as Maxwellian or Druyvesteyn, but in some cases they fail to fit the discharge physics. This tutorial model investigates the effects of ... Read More
