The Application Gallery features COMSOL Multiphysics® tutorial and demo app files pertinent to the electrical, structural, acoustics, fluid, heat, and chemical disciplines. You can use these examples as a starting point for your own simulation work by downloading the tutorial model or demo app file and its accompanying instructions.
Search for tutorials and apps relevant to your area of expertise via the Quick Search feature. Note that many of the examples featured here can also be accessed via the Application Libraries that are built into the COMSOL Multiphysics® software and available from the File menu.
Capacitively coupled RF discharges can operate in two distinct regimes depending on the discharge power. In the low power regime, known as the alpha regime, the electric field oscillation is responsible to heat and create electrons. In the high power regime, known as gamma regime, the ... Read More
This tutorial model presents a study of a coaxial DC corona discharge in dry air at atmospheric pressure. The dimensions and operation conditions are similar to ones found in electrostatic precipitators with wire-to-plate configurations. The inner wire electrode has a 100-mm radius and ... Read More
This tutorial model shows how to set up a model of a pulsed capacitive discharge. The on pulse consists of 10 periods of excitation at 13.56MHz, followed by no excitation for 100 periods. The I-V characteristics, the electron density, temperature and plasma potential are studied. Read More
This model shows how shape optimization can be used design the coils of an ICP reactor to obtain plasma uniformity. The reactor in study is a planar ICP with the coils distributed along the radial direction. The Optimization study step is used to find the best coil placement so that the ... Read More
Surface chemistry is often an overlooked aspect of reacting flow modeling. This tutorial model shows how surface reactions and species can be added to study processes like chemical vapor deposition (CVD). The tutorial then models silicon growth on a wafer. Initially, the example uses a ... Read More
This tutorial model demonstrates how to compute the impedance of a capacitively coupled plasma. The Time Periodic study computes the time periodic solution of the plasma. Subsequently, the solution is transformed to the time domain, after which the fast Fourier transform (FFT) solver is ... Read More
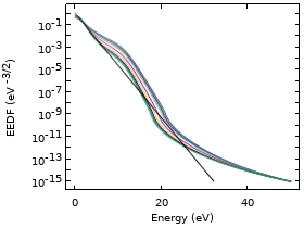
In this example, a hydrogen plasma reactor at moderate pressure is studied using a global model. The heavy species heat equation is included. In the first part of the study, a Maxwellian electron energy distribution function is used. In the second part, the global model is solved self ... Read More
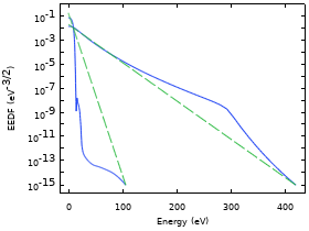
This model solves the Boltzmann equation in the two-term approximation for a background of molecular and atomic hydrogen. Electron mobility and source terms are computed by suitable integration of the electron energy distribution function over electron impact cross sections. Read More
This tutorial models an ICP reactor by solving plasma fluid type equations fully coupled with the homogeneous and time-independent electron Boltzmann equation in the classical two-term approximation. The approximated Boltzmann equation is solved for each position of space and is coupled ... Read More
Streamers are transient filamentary electric discharges that can develop in a nonconducting background in the presence of an intense electric field. These discharges can attain high electron number density and consequently a high concentration of chemical active species that are relevant ... Read More
