基于COMSOL Multiphysics的稠油热采过程井筒-储层多场耦合模拟
Published in 2018
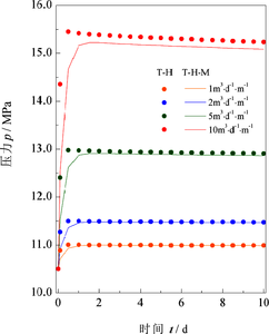
注蒸汽热力采油是稠油开发的一种有效方法,它涉及到储层地质、采油工程、传热学、经济分析等多门学科,是一项复杂、技术难度大的系统工程。研究蒸汽吞吐的热力学过程,包括井筒内饱和水蒸汽温度/压力传输、储层内多相流传质传热等,对于优选热采井生产方式和工作制度、提高采收率具有重要意义。本研究针对注蒸汽热采过程,将井筒与储层作为一个统一的系统,考虑井口注汽参数与储层吸汽能力之间的协调关系以及储层温度场、流体场、固体场之间的耦合关系,基于连续介质力学、流体力学、渗流力学、热弹性力学及传热学等相关理论,建立了反映变温、变形影响的井筒-储层耦合数学模型。基于COMSOL Multiphysics自带的多孔介质传热模块、达西定律模块和固体力学模块,通过自定义各模块间的耦合变量,实现了井筒、储层以及温度场、流体场、固体力场之间的全耦合,对稠油热采注蒸汽过程进行了模拟计算,在初始地应力和热-流-变形耦合状态下对井筒吸汽剖面、温度剖面、压力剖面及储层温度、压力、应力、应变、孔隙度、渗透率等参数进行对比分析,为热采油藏注汽参数优化、提高油井产能和采收率提供了技术支持。
Download
- 王_poster.pdf - 1.02MB
- 王_abstract.pdf - 0.06MB
