钯吸氢动力学性能的数值模拟
Published in 2019
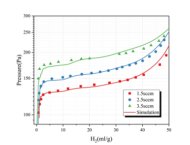
储氢合金的PCT曲线和氢化动力学性能是描述合金储氢性能的重要标准,目前对合金的PCT曲线测试一般采用体积法,对合金氢化反应动力学的研究一般采用等容差压法。但在实际生产过程中,储氢合金通常是在恒定氢气流速的情况下工作的,所以研究合金在恒定氢气流速条件下的吸氢动力学性能很有必要。与实验相比,采用数值模拟预报合金的吸放氢性能节省了大量的时间和成本,具有突出优势。目前金属Pd及其合金被广泛应用于储氢及氢气纯化等领域,我们通过COMSOL软件建模,构建Pd吸氢热力学与动力学特性模型,选用传热、流体流动、域常微分等物理场模块建立了Pd在恒定氢气流速下吸氢动力学的计算模型,计算结果与实验值基本一致,表明该模型可用于预报Pd在恒定流速下的吸氢特性。
Download
- 刘_poster.pdf - 1.22MB
- 刘_abstract.pdf - 0.04MB
