Electrochemical Characterization of the Microband Graphite Electrodes
The microband design of microelectrodes is a cost-effective and easily-fabricated compromise combining convergent mass transport, due to microscale width as a critical dimension, and high output currents due to the macroscopic length. Among the various techniques available for microband electrode fabrication, screen-printing stands out as an inexpensive approach. The application of cross cutting to deliver micro-scale thickness overcomes the problem of the insufficient resolution of screen-printing in lateral dimensions (approx. 0.05 mm).
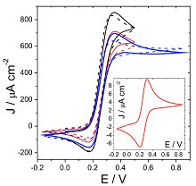
In this work we study the voltammetric response of the developed microband array electrodes. The modified diffusion domain approach and periodic boundary conditions was used for simulation of the transport processes in the microband electrode system.
Download
- volkov_poster.pdf - 1.57MB
- volkov_abstract.pdf - 0.11MB
