Heat and Mass Transfer Modeling During Freezing of Foodstuffs
Published in 2012
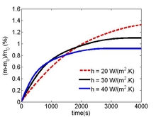
A mathematical model is developed to determine the weight loss and the freezing rate during the freezing of unwrapped foodstuffs. The model allows comparing two freezing processes; the first uses nitrogen gas at -80°C and the second uses cold air. The model includes thermophysical properties that are temperature dependent to take into account the ice formation. The time step has to be chosen carefully in order to preserve the heat balance during the simulation of freezing and the mesh grid has to be refined near the surface to take into account strong gradients of water content . Numerical results agree well with experimental data and confirm that the weight loss and freezing time can be reduced if low temperatures are used.
Download
- rouaud_presentation.pdf - 0.58MB
- rouaud_paper.pdf - 0.3MB
- rouaud_abstract.pdf - 0.02MB
