Low Cost All Optical Swept Source for Optical Communication Applications
By introducing a periodic modulation in a waveguide, it is possible to create an interaction between forward-traveling and backward-traveling modes of an optical waveguide. Bragg grating may be a one dimensional diffraction grating which diffracts light from the forward-traveling mode into the backward traveling mode.
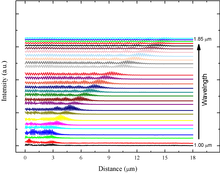
Since the Bragg grating reflects at the wavelength for which it is designed, we would like to find the number grating element required the reflection of the signal. To simulate Chirped Bragg grating, we optimized the minimum number of grating elements required for reflection of particular wavelength. The simulated device could be used as a swept source light source for various applications including biomedical diagnostics devices.
Download
- andrews_poster.pdf - 0.67MB
- andrews_paper.pdf - 0.69MB
- andrews_abstract.pdf - 1.1MB
