Numerical Investigation of the Convective Heat Transfer Enhancement in Coiled Tubes
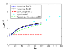
The work is focused on the numerical analysis of forced convection in curved tubes investigating the correlation between the heat transfer and friction factor enhancement and the effects of the wall curvature. The analysis was performed by integrating the continuity, momentum and energy equations within COMSOL Multiphysics. The local Nusselt number reaches values higher than the ones expected for straight pipes and the increasing of friction factor due to the wall curvature profile is negligible for this flow regime. The numerical results were compared to the experimental values obtained on a similar coiled tube showing good agreement. Concluding the curvature of the wall tube constitutes an efficient solution for the heat transfer enhancement in case of laminar flow regime.
Download
- cattani_presentation.pdf - 0.52MB
- cattani_paper.pdf - 0.48MB
- cattani_abstract.pdf - 0.17MB
