Numerical Simulation of Bull's Eye Grating Using COMSOL Multiphysics® Software
Published in 2016
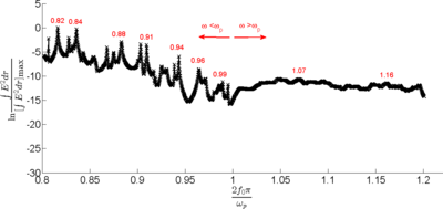
Plasmonic gratings like bull's eye can localize E field due to excitation of surface plasmons and when integrated with Ge-on-Si photodetector they can help in fabrication of ultra small photodiodes with high sensitivity. We have numerically carried out a frequency analysis for the grating using COMSOL Multiphysics® software with plane wave excitation at normal incidence. We have used the frequency domain study under the radio frequency module of the 2D axissymetric model of COMSOL Multiphysics® software replicating the annular nature of the grating. The frequency response for 0.8
Download
- ray_poster.pdf - 1.08MB
- ray_abstract.pdf - 0.33MB
