Optoelectronic Simulation of An Organic Bulk Heterojunction Solar Cell with COMSOL
Published in 2013
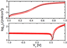
In this project, we developed a 3D optoelectronic model for organic bulk-heterojunction solar cells. We validated our COMSOL Multiphysics® model with experimental data and used our simulation to predict the optical and electrical characteristics of a 3D plasmonic OPV device. This work has the potential to open up possibilities for future designs and simulations of nanostructure-enhanced organic bulk-heterojunction solar cells.
