COMSOL Conference 2025 Proceedings
Collection of Papers, Posters, and Slideshows Accepted by the Program Committee
At the COMSOL Conference 2025, engineers, researchers, and scientists from around the globe showcased their use of modeling and simulation across all major industries and in academia. Use the Quick Search tool to find a specific presentation or filter by topic or event location.
ISBN: 978-1-7364524-3-1
Power-to-gas is an important area of research for reducing greenhouse gases and seasonal energy storage. Methane, with a Lower Heating Value of 50 MJ/kg, is already a commonly used gas, and its synthesis using green hydrogen production (electrolysis of renewable energy) is a remarkable ... Read More
Macroscopic modeling of fluid flow and thermal diffusion, in a porous medium, requires the description of equivalent properties (permeability, conductivity and diffusivity). However, depending on the microstructure topology of the porous medium and the fluid flow regime at the ... Read More
In this paper, we present a study of the simulation of Directed Energy Deposition (DED) Additive Manufacturing (AM) using a multiphysics approach. We use a combination of Heat Transfer in Fluids, Solid Mechanics and Laminar Flow physics to accurately simulate the DED process. The ... Read More
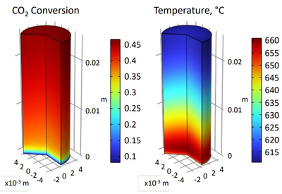
The "Power to Gas" technology is a promising alternative for storing renewable electrical energy through energy carriers. This technology involves using surplus energy from renewable sources to obtain green hydrogen through water electrolysis. Since hydrogen storage and transportation ... Read More
While copper remains the dominant material for conduction paths in printed circuit board (PCB) applications, both technological and economic reasons have been motivating research on substituting copper with aluminum (Al). Despite its 60 % higher specific electrical resistance, aluminum ... Read More
High power consumption chips have already become a major challenge for modern processors causing low thermal performances. Existing thermal solutions are not able to solve these high temperature issues efficiently. Two-phase cooling devices such as heat pipes and vapor chambers have ... Read More
Technical advancements in miniaturization in the last decades have, among others, brought forth the technology of so called “Lab-on-a-Chip” (LOC) systems. These systems provide the possibility to automate and accelerate certain laboratory processes, e.g., biomedical diagnostics, on the ... Read More
This work, which is done in the framework of the SisAl Pilot EU project, presents the use of the COMSOL Multiphysics® software for simulating an ensemble averaged electric arc in a laboratory-scale electric arc furnace. The SisAl Pilot project aims at optimising the silicon production in ... Read More
Activated carbon filtration has proven to be a reliable method to clean indoor air. In such a system, air, contaminated with VOCs, is led through the filter where the contaminants are adsorbed onto the filter. However, for the long term stability of the air purification system, it is ... Read More
Continuous Ink Jet (CIJ) printing technologies are widely used in the field of industrial coding and marking. These technologies are based on the emission of a high-speed jet of ink droplets (20 m/s) onto the surface of a moving medium. To maintain sufficient print quality, it is ... Read More
