The Application Gallery features COMSOL Multiphysics® tutorial and demo app files pertinent to the electrical, structural, acoustics, fluid, heat, and chemical disciplines. You can use these examples as a starting point for your own simulation work by downloading the tutorial model or demo app file and its accompanying instructions.
Search for tutorials and apps relevant to your area of expertise via the Quick Search feature. Note that many of the examples featured here can also be accessed via the Application Libraries that are built into the COMSOL Multiphysics® software and available from the File menu.
A time-varying current induces a time-varying magnetic field. The magnetic field induces currents in neighboring conductors. The induced currents are called eddy currents. In this model, the phenomenon is illustrated by a time-harmonic field simulation as well as a transient analysis, ... Read More
Creep is an inelastic time-dependent deformation which occurs when a material is subjected to stress at sufficiently high temperature, say 40% of the melting point or more. Experimental creep data (using constant stress and temperature) often display three different types of behavior ... Read More
This example demonstrates how to import a bitmap which can be used to simulate an image using ray tracing. The example is based on the Double Gauss Lens tutorial from the Ray Optics Module Application Library. The first study has been modified so that the Spot Diagram "auto-focus" tool ... Read More
An electrostatically actuated MEMS resonator is simulated. The device is driven by an AC + DC bias voltage applied across a parallel plate capacitor. In this example, the pull-in and pull-out voltages of the resonator are computed. This is done via a quasi-static analysis of the ... Read More
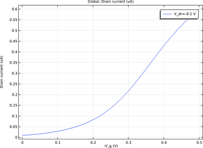
This model shows how to model an electrolyte-gated organic field-effect transistor based on a general drift-diffusion model. The model uses the Stabilized Convection-Diffusion Equation interface and the Electrostatics interface. The transistor characteristics are visualized. Formation of ... Read More
This tutorial model shows a virtual test setup of a conference speaker. The speaker system consists of a loudspeaker as well as three microphones. The model instigates the loudspeaker sound radiation, feedback, as well as the ability of the system to detect sound (speech) emitted from a ... Read More
This tutorial simulates a standard test and benchmark model for nonreflecting conditions and sponge layers for linearized Euler-like systems. It involves the propagation of a transient Gaussian pulse in a 2D uniform flow. The Convected Wave Equation, Time Explicit interface solves the ... Read More
In this tutorial model, a six step thrust bearing is analyzed. A step thrust bearing consists of a stepped bearing surface on which the end of the shaft rotates. The entire assembly is submerged in a lubricant. The shaft collar is assumed to be spinning without any axial motion in the ... Read More
In this conceptual example, the soft impact between two elastic rings is modeled using the Solid Mechanics interface. One of the rings is given an initial velocity to initiate the impact event. Both rings are unconstrained and not subjected to any external forces. Contact is modeled ... Read More
A spherical hydrophone consisting of a PZT ceramic, a coating material, and a cable is modeled in 2D axisymmetry. The Receiving Voltage Sensitivity (RVS) is computed for an incident plane wave and compared to an analytical solution from the reference for an ideal spherical hydrophone. ... Read More
