The Application Gallery features COMSOL Multiphysics® tutorial and demo app files pertinent to the electrical, structural, acoustics, fluid, heat, and chemical disciplines. You can use these examples as a starting point for your own simulation work by downloading the tutorial model or demo app file and its accompanying instructions.
Search for tutorials and apps relevant to your area of expertise via the Quick Search feature. Note that many of the examples featured here can also be accessed via the Application Libraries that are built into the COMSOL Multiphysics® software and available from the File menu.
The Turbulent flow, Elliptic Blending R-ε interface is used to analyze fully developed turbulent flow in a spanwise rotating channel. Due to the influence of the Coriolis force on turbulence, profiles of the flow variables are skewed at moderate rotation rates. An asymmetry between the ... Read More
This example illustrates a linear buckling analysis conducted for a corrugated conical shell, utilizing a single sector of the geometry along with cyclic symmetry periodicity edge conditions. The results are compared to those using the full shell geometry. Read More
A waveguide filter is designed using shape optimization by moving and scaling rectangles in the geometry. The irises of the initial geometry are optimized to ensure good bandpass response and out-of-band rejection, while maintaining the double mirror symmetry. The EGO optimization solver ... Read More
This model shows the workflow to define a transfer orbit trajectory with user defined orbit option. The direct solar, albedo, and Earth radiative thermal loads are analyzed during the transfer from low Earth orbit to geostationary orbit. Read More
During manufacturing or in-service use, the geometric shape of structural components can deviate from their intended design. For example, a hole may lose its perfectly circular form, making it important to measure and control this deviation. The process of quantifying such deviations is ... Read More
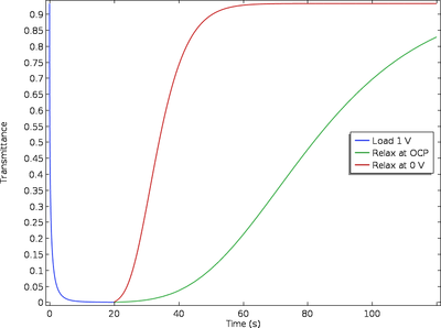
Carbon corrosion is one of the important degradation mechanisms in a Polymer Electrolyte Membrane (PEM) fuel cells which predominantly occurs during start-up or shut down of the fuel cells. During carbon corrosion, carbon support to catalysts is compromised affecting the cell ... Read More
This model demonstrates two ways of modeling waveguides that support multiple modes. A PML can be used to absorb any modes, or Ports can be explicitly added for each possible mode. Learn more in this accompanying blog post: Modeling Waveguides that Support Multiple Modes Read More
The sound distribution from a TV in a two-room apartment is computed. The simulation demonstrates the use of the Acoustic Diffusion Equation interface to get a quick and simple estimate of the local sound pressure level. For increased accuracy, an analytical expression for the direct ... Read More
It can in many cases be difficult to get accurate material properties for porous materials. Measuring the properties to high precision can involve lengthy measurements using different techniques. It can therefore be interesting to understand how uncertainties in different material ... Read More
This tutorial model solves for an inductively coupled plasma reactor in a mixture of CF4/O2. The plasma transport, magnetic fields, fluid flow, and heat transfer are solved for fully self-consistently. The oxygen mole fraction of the reactor feed is parameterized. Read More
